2つの数値に差があることは誰の目にも明らかですが、その差が統計的に有意なものかを判断するには、少し手間をかける必要があります。
会社で顧客満足度調査を実施し、膨大な結果の分析を任されたとしましょう。上司に何を最初に分析すべきか聞いたところ、男性と女性で回答が異なるかどうかが知りたいと言われました。たとえば、会社をNet Promoter Score℠(NPS)で評価したときに、男性の方が女性より平均的にスコアが低いか、などです。
データを掘り下げていくと、男性回答者の平均スコアが9、女性回答者の平均スコアが12であることがわかります。では、この9と12の差が有意かどうかは、どうすればわかるのでしょうか。そこで必要になるのがt検定です。
t検定は、2つの数値が互いに有意に異なるかどうかを調べる手段です。t検定には複数の種類があり、それぞれ計算式が異なります。
1. 1標本t検定: この検定は、あるグループのデータの平均値が指定の値と異なるかどうかを調べます。
例: 会社が目標とするNPSは、業界平均の5を有意に上回るスコアです。会社が最近実施したアンケートでは、NPSが10という結果が出ました。10というNPSは、果たして業界標準の5よりも有意に高いのでしょうか?
2. 2標本t検定: この検定は、2つの独立したグループの平均値が互いに有意に異なるかどうかを調べます。
例: 男性が会社に与えるNPSは女性よりも低いという仮説を立てたところ、男性回答者のNPSの平均スコアは9で、女性回答者の平均スコアは12という結果が出ました。9というスコアは、12と有意に異なるのでしょうか。
3. 対応のあるt検定: この検定では、1つのグループを対象に同じアンケートを2回実施し、1回目のアンケートと2回目のアンケートの間で平均が変化したかどうかを調べることができます。
例: 顧客のグループを対象に同じアンケートを2回実施しました。1回目は4月、そして2回目は会社の広告を見た後の5月です。顧客が広告を見た後、会社のNPSは変化したでしょうか?
t検定が明らかにするのは差が有意であるかどうかで、その差に意味があるかどうかを判断するのは自分です。標本サイズが十分に大きければ、小さな差でも統計的に有意な差になります。
t検定は、次の4つのステップで実施します。
1. t統計量を計算する:
t統計量の計算式は、t検定の種類によって異なります(このページの最後までスクロールすると3つの計算式が確認できます)。
2. 自由度を計算する:
自由度とは、平均が何通りの異なる値を取り得るか、を示します。この例では、回答者グループから取得できるNPSスコアの数が自由度になります。t統計量と同様に、自由度の計算式も実施するt検定の種類によって異なります。
3. 棄却値を決める:
棄却値とは、2つの数値の差を統計的に有意であるとみなす際のしきい値を指します。
4. t統計量の絶対値を棄却値と比較する:
t統計量が棄却値より大きい場合、2つの数値には有意な差があります。t統計量の方が小さい場合、2つの数値には、統計上、差がありません。
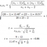
では、例を最初から通して見てみましょう。仮説は、男性回答者が会社に付けるNPSスコアは女性よりも低い、というものです。男性の平均スコアは9で、女性の平均スコアは12です。9と12の間には、有意な差があるのでしょうか。このような状況では、2標本t検定を使用します。
1. t統計量を計算する:
2標本t検定の計算式をご紹介します。この式で、
2. 自由度を計算する:
2標本t検定の自由度を計算するには、次の式を使用します。その他のt検定で使用する自由度の計算式は、後でご紹介します。
3. 棄却値を決める:
この表によると、α水準が0.05、自由度が41の両側検定では、棄却値は2.02となります。ほとんどの場合に両側検定が使用される理由は、両側検定の方が片側検定より保守的だからです。片側検定と両側検定の違いについて詳しくは、Khan Academyの動画をご覧ください。
4. t統計量の絶対値を棄却値と比較する:
t統計量の絶対値、0.86は、棄却値の2.02より大きくありません。そのため、男性のNPSスコアが女性に比べて有意に低いとは言えない、と結論できます。
皆さんがt検定を実施するときは、おそらくスプレッドシートや統計ソフト(ExcelやSPSSなど)を使っていることでしょう。しかし、自分で計算したい場合のために、他の2種類のt検定で使う計算式もご紹介します。
スプレッドシートや統計ソフトでt検定を実施する場合は、プロセスがわずかに異なります。ほとんどのソフトは、t統計量を棄却値と比較するのではなく、p値を求めてα水準(標準の値は0.05)と比較します。そしてp値がα水準より低いと、2つの数値は有意に異なります。
Net Promoter Scoreは、Bain & Company, Inc、Satmetrix Systems, Inc.およびF. Reichheldの商標です。

SurveyMonkeyが仕事の効率化をお手伝いします。成功する戦略・製品・体験で影響力を最大化する方法をご覧ください。

深いインサイトが得られる効果的な質的調査質問の書き方を解説。質問のタイプや例、書き方のヒントもご紹介します。

Hornblower社がSurveyMonkeyとパワフルなAIを使ってNPSデータを最大限活用し、顧客の洞察を収集して、顧客体験を改善している方法をご覧ください。

職場のトレンド、ワークライフバランス、自宅勤務、リモートワークと出社勤務の違いに関する新たな調査


